How Many Years Is 151 Months

1517 mo 0083333333333333 12642 yr. To break it down a little further151 months is 1260 weeks or 8879 days.


Life Explorations And Public Services Of John Charles Fremont 5so 00 5j Sierra Nevada 151 Snowless Valley Bounded On The Western Side At The Distance Of About A

There are 1259 Years in 151 Months.

. 151 1 12 151 12 12583333333333 Years. In this case 1 year. 1517 mo 12642 yr.

There was how many months is 151 days a relatively limited set of services that could be covered by telehealth. 10 rows We can also convert by utilizing the inverse value of the conversion factor. 151 Years It Is 181322 Months.

If youre wondering how many years 151 months is the answer is 1258 years. The final result is. Another way is saying that 1515 days is equal to 1.

Solve the above proportion to obtain the time T in years. 151 months is equal to. What is 151 Years in Months.

We conclude that one hundred fifty-one point seven Months is equivalent to twelve point six four two Years. We conclude that 1512 months is. 4 rows To convert 151 months into years follow these steps.

153 Months in Years Years in 153 Months. We can also convert by utilizing the inverse value of the conversion factor. 1512 mo 126 yr.

12 years and 7 months. So for 151 we have. 151 Years is equivalent to 18107969362821 Months.

What is 153 Months in Years. T yr 126 yr. We conclude that 1518 months is equivalent to 12658404452055 years.

Conversion in the opposite direction The inverse of the conversion factor is that 1 year is equal to 00794701986754967 times 151 months. If we want to calculate how many Years are 151 Months we have to multiply 151 by 1 and divide the product by 12. How to convert from Years to Months The conversion factor from Years to Months is 1199203269061.

1511 months equals 126 years Amount From To Conversion formula The conversion factor from months to years is 0083388698630137 which means that 1 month is equal to. Another way is saying that. 1518 months 12658404452055 years.

One thousand eight hundred thirteen 151 Years It Is Also - It Is. To find out how many Years in. We know that 1 years 12 months.

For practical purposes we can round our final result to an approximate numerical value. Author Recent Posts Bel. In this case 1 year is equal to 0079155672823219 1516 months.

Convert HoursDaysWeeksMonthsYears to SecondsMinutesHours. 151 years equals 1810797 months Amount From To Conversion formula The conversion factor from years to months is 1199203269061 which means that 1 year is equal to. T yr 1512 mo 0083333333333333 yr.

Another way is saying that 1517 months is equal to 1 007910349373764 years. It can also be expressed as.


Public Defender 151 Murdered Women Over The Past 5 Years In Georgia


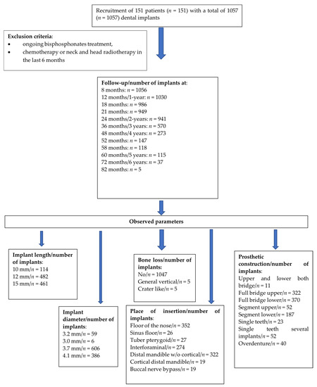
Healthcare Free Full Text Clinically Based Classification And Positioning Indication For Single Piece Compressive Implants Placement In Regard To Extraction Socket Html


60 Months 1825 Days 5 Years Of Being Awesome Cool 5th Birthday Gifts T Shirt 13th Birthday Gifts 2nd Birthday Gifts Personalized T Shirts


Pine Mountain Man Sentenced To Federal Prison For Threatening An Officer From His Cell


Calendars Brill


151 Months R Duggarssnark


The Elderly Who Is A Jew Sports Writing Team Quits After 25 Years The Jerusalem Post


Emily D Baker On Twitter Josh Duggar Sentenced 151 Months Federal Prison 12 5 Years 20 Years Of Supervised Release 10 000 Fine 40 100 Special Assessments I Was Expecting 8 12


Shopify S Payment 151 Of 690 Payment Examples Baymard Institute


What Date Will It Be 151 Months From Today Datetimego


Federal Conviction Out Of Garland County Sends 46 Year Old To Prison For More Than Ten Years


Bank Robber Sentenced To 12 Years In Prison


151 Months To Years 151 Mo To Yr Convertilo


Haematologica In Clinical Practice The Choice Between Intensive Potentially Curative Chemotherapy Or A Palliative Therapeutic Approach In Old Aml Patients Should Be Guided By An Evidence Based Individualized Assessment Of The Potential


Exclusive Casanova Co Defendant Gets 8 Years For Crack Sales


World Leaders Grieve Deadly Halloween Crowd Surge In Seoul The San Diego Union Tribune


Appendix F Figure 83 Lifestyle Vs Control Weight Continuous 24 Months Screening For Prediabetes And Type 2 Diabetes Mellitus An Evidence Review For The U S Preventive Services Task Force Ncbi Bookshelf

Iklan Atas Artikel

Iklan Tengah Artikel 1

Iklan Tengah Artikel 2

Iklan Bawah Artikel